公司刘艳彪教授课题组在环境领域顶刊ES&T上发表研究成果
发布时间:2023-06-20
近日,公司刘艳彪课题组在流体电催化合成氨领域取得新进展。相关成果以“Fluidic MXene Electrode Functionalized with Iron Single-Atoms for Selective Electrocatalytic Nitrate Transformation to Ammonia”为题发表在环境领域顶刊《Environmental Science & Technology》上。
关于水中硝酸盐的深度去除和资源化利用是当前的研究热点。电催化硝酸盐还原技术有望将硝酸盐转化为高价值的氨,可实现污染物去除和资源化利用的双赢。然而,目前报道的电催化材料大多需要碱性的反应条件和高浓度的硝酸盐等苛刻条件,具有高能耗和低效率等弊端。
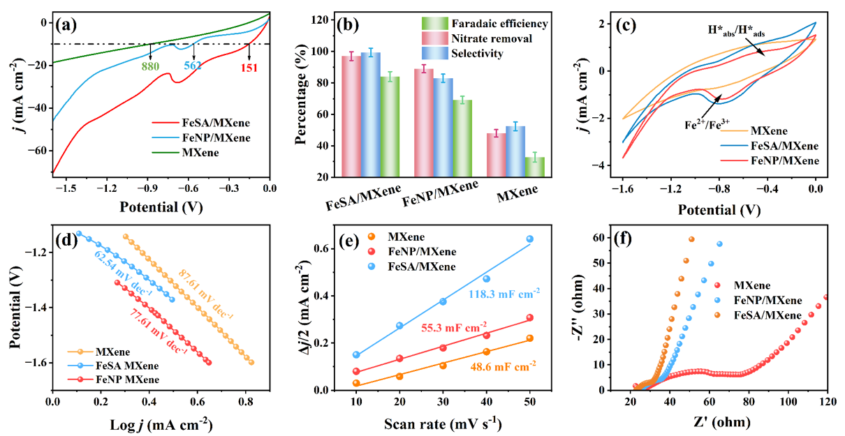
鉴于此,刘艳彪教授团队研发了一种新型的流体电催化反应系统,可在中性条件下实现低浓度的硝酸盐选择性还原产氨。该技术的核心是铁单原子功能化的MXene膜电极(FeSA/MXene)。在辅助电场作用下,FeSA/MXene可靶向诱导原子氢(H*)的生成,进而用于硝酸盐的脱氧加氢反应。15N同位素标记实验表明,反应中生成的氨主要源于硝酸盐的还原过程。密度泛函理论计算表明,Fe单原子活性位点不仅抑制了副产物氢气生成所需的H-H偶联步骤,还促进了中间体*NO还原为*NHO的进程,因此表现出较高的氨选择性和法拉第效率。该催化体系在复杂的水基质条件下(自来水、湖水、强酸/碱废水)仍然表现出良好的电催化活性、氨选择性、法拉第效率以及催化稳定性。

(FeSA/MXene膜电极的制备和表征)

(FeSA/MXene膜电极电催化硝酸盐产氨的性能测试)

(体系的活性物种检测、反应路径计算及反应机理示意图)
本文开发了一种新型高效的流体电催化反应系统,通过铁单原子锚定的MXene膜电极实现了低浓度硝酸盐在中性条件下电化学还原合成氨。铁单原子活性位点有效抑制了竞争性析氢副反应的发生,表现出较高的硝酸盐去除效能和氨选择性。本研究成果有望为应用于电催化合成氨的高效电催化剂研发提供借鉴与参考。
本文第一作者为环境公司21级博士生任伊凡,刘艳彪教授为论文的唯一通讯作者,必一运动体育公司为唯一通讯单位。